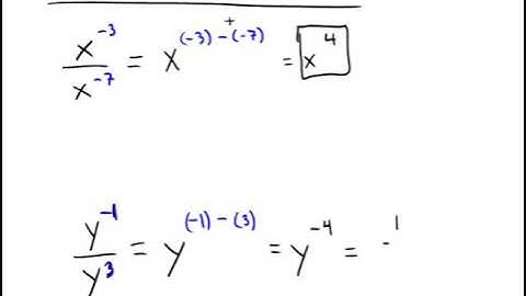
Algebra 1 Lesson #27 How to Use the Quotient Rule for Exponents | Simplify Negative Exponents

Tonton & Download Video Musik Gratis

⬇ DOWNLOAD NOW
Kalau muncul iklan pop-up, tutup lalu klik tombol kembali

Download lagu Algebra 1 Lesson #27 How to Use the Quotient Rule for Exponents | Simplify Negative Exponents secara gratis hanya untuk keperluan promosi. Dukung artis favorit kamu dengan membeli musik original di iTunes atau platform resmi lainnya.