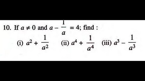
if a-1/a=4, find a2+1/a2 a4+1/a4 a3-1/a3 ICSE Class 9 Chapter 4 Selina MATHS polynomial EXPANSIONS

Tonton & Download Video Musik Gratis

⬇ DOWNLOAD NOW
Kalau muncul iklan pop-up, tutup lalu klik tombol kembali

Download lagu if a-1/a=4, find a2+1/a2 a4+1/a4 a3-1/a3 ICSE Class 9 Chapter 4 Selina MATHS polynomial EXPANSIONS secara gratis hanya untuk keperluan promosi. Dukung artis favorit kamu dengan membeli musik original di iTunes atau platform resmi lainnya.