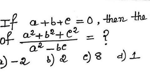
If a+b+c=0 then find the value of (a²+b²+c²)/(b²-ac) | Easy way to solve a tricky problem

Tonton & Download Video Musik Gratis

⬇ DOWNLOAD NOW
Kalau muncul iklan pop-up, tutup lalu klik tombol kembali

Download lagu If a+b+c=0 then find the value of (a²+b²+c²)/(b²-ac) | Easy way to solve a tricky problem secara gratis hanya untuk keperluan promosi. Dukung artis favorit kamu dengan membeli musik original di iTunes atau platform resmi lainnya.