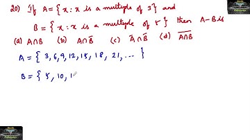
Let A = {x : x is a multiple of 3} and B = {x : x is a multiple of 5), then `A nn B` is given by

Tonton & Download Video Musik Gratis

⬇ DOWNLOAD NOW
Kalau muncul iklan pop-up, tutup lalu klik tombol kembali

Download lagu Let A = {x : x is a multiple of 3} and B = {x : x is a multiple of 5), then `A nn B` is given by secara gratis hanya untuk keperluan promosi. Dukung artis favorit kamu dengan membeli musik original di iTunes atau platform resmi lainnya.