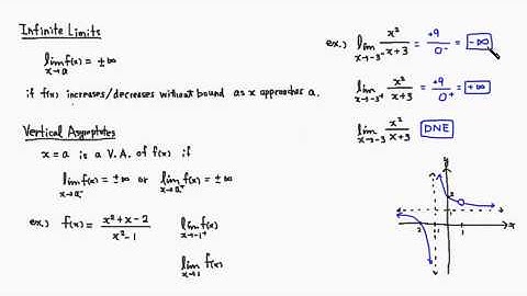
Infinite Limits and Finding Vertical Asymptotes (MTH 145 Section3-2 Part1 )

Tonton & Download Video Musik Gratis

⬇ DOWNLOAD NOW
Kalau muncul iklan pop-up, tutup lalu klik tombol kembali

Download lagu Infinite Limits and Finding Vertical Asymptotes (MTH 145 Section3-2 Part1 ) secara gratis hanya untuk keperluan promosi. Dukung artis favorit kamu dengan membeli musik original di iTunes atau platform resmi lainnya.