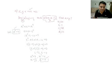
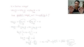
Logarithm ||Video 4|| CAT 2025|| Sandeep Garg Sir

Tonton & Download Video Musik Gratis

⬇ DOWNLOAD NOW
Kalau muncul iklan pop-up, tutup lalu klik tombol kembali

Download lagu Logarithm ||Video 4|| CAT 2025|| Sandeep Garg Sir secara gratis hanya untuk keperluan promosi. Dukung artis favorit kamu dengan membeli musik original di iTunes atau platform resmi lainnya.