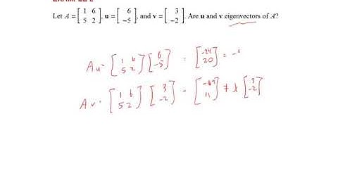
Eigenvalue and Eigenvector homework examples (Math 204 Section 5.1 video 4)

Tonton & Download Video Musik Gratis

⬇ DOWNLOAD NOW
Kalau muncul iklan pop-up, tutup lalu klik tombol kembali

Download lagu Eigenvalue and Eigenvector homework examples (Math 204 Section 5.1 video 4) secara gratis hanya untuk keperluan promosi. Dukung artis favorit kamu dengan membeli musik original di iTunes atau platform resmi lainnya.