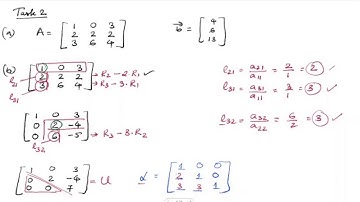
LU - FACTORIZATION [CLASS 1](For second semester BSc complementary mathematics)

Tonton & Download Video Musik Gratis

⬇ DOWNLOAD NOW
Kalau muncul iklan pop-up, tutup lalu klik tombol kembali

Download lagu LU - FACTORIZATION [CLASS 1](For second semester BSc complementary mathematics) secara gratis hanya untuk keperluan promosi. Dukung artis favorit kamu dengan membeli musik original di iTunes atau platform resmi lainnya.