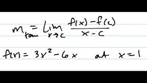
Difference Quotient Method to Find Slope of Tangent Line on Cubic Curve

Tonton & Download Video Musik Gratis

⬇ DOWNLOAD NOW
Kalau muncul iklan pop-up, tutup lalu klik tombol kembali

Download lagu Difference Quotient Method to Find Slope of Tangent Line on Cubic Curve secara gratis hanya untuk keperluan promosi. Dukung artis favorit kamu dengan membeli musik original di iTunes atau platform resmi lainnya.