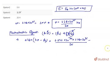
A potential barrier of 0.4V exists across a p-n junction. If the depletion region is

Tonton & Download Video Musik Gratis

⬇ DOWNLOAD NOW
Kalau muncul iklan pop-up, tutup lalu klik tombol kembali

Download lagu A potential barrier of 0.4V exists across a p-n junction. If the depletion region is secara gratis hanya untuk keperluan promosi. Dukung artis favorit kamu dengan membeli musik original di iTunes atau platform resmi lainnya.