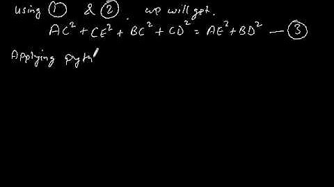
Ex 6.5 Q13 Class X D and E are points on the sides CA and CB respectively of a triangle ABC right

Tonton & Download Video Musik Gratis

⬇ DOWNLOAD NOW
Kalau muncul iklan pop-up, tutup lalu klik tombol kembali

Download lagu Ex 6.5 Q13 Class X D and E are points on the sides CA and CB respectively of a triangle ABC right secara gratis hanya untuk keperluan promosi. Dukung artis favorit kamu dengan membeli musik original di iTunes atau platform resmi lainnya.