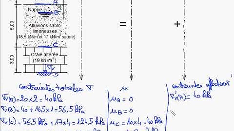
Evaluation du Coeff. d’élasticité d’un sol à partir de sa contrainte

Tonton & Download Video Musik Gratis

⬇ DOWNLOAD NOW
Kalau muncul iklan pop-up, tutup lalu klik tombol kembali

Download lagu Evaluation du Coeff. d’élasticité d’un sol à partir de sa contrainte secara gratis hanya untuk keperluan promosi. Dukung artis favorit kamu dengan membeli musik original di iTunes atau platform resmi lainnya.