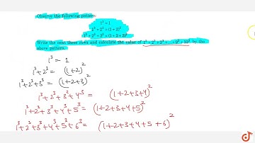
Observe the following pattern : 1^3=1 1^3+2^3=(1+2)^2 1^3+2^3+3^3=(1+2+3)^2 Write the next three...

Tonton & Download Video Musik Gratis

⬇ DOWNLOAD NOW
Kalau muncul iklan pop-up, tutup lalu klik tombol kembali

Download lagu Observe the following pattern : 1^3=1 1^3+2^3=(1+2)^2 1^3+2^3+3^3=(1+2+3)^2 Write the next three... secara gratis hanya untuk keperluan promosi. Dukung artis favorit kamu dengan membeli musik original di iTunes atau platform resmi lainnya.