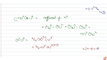
Simplify `C_0^2+C_1^2/2+C_2^2/3+...+C_n^2/(n+1)`.

Tonton & Download Video Musik Gratis

⬇ DOWNLOAD NOW
Kalau muncul iklan pop-up, tutup lalu klik tombol kembali

Download lagu Simplify `C_0^2+C_1^2/2+C_2^2/3+...+C_n^2/(n+1)`. secara gratis hanya untuk keperluan promosi. Dukung artis favorit kamu dengan membeli musik original di iTunes atau platform resmi lainnya.