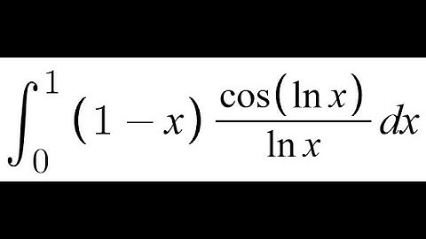
Feynman Integration Example 150 - ∫ from 0 to 1 of ((1 - x) * cos(ln(x))) / ln(x) dx

Tonton & Download Video Musik Gratis

⬇ DOWNLOAD NOW
Kalau muncul iklan pop-up, tutup lalu klik tombol kembali

Download lagu Feynman Integration Example 150 - ∫ from 0 to 1 of ((1 - x) * cos(ln(x))) / ln(x) dx secara gratis hanya untuk keperluan promosi. Dukung artis favorit kamu dengan membeli musik original di iTunes atau platform resmi lainnya.