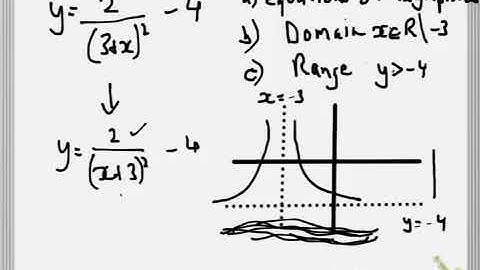
The truncus - Hyperbola and the truncus/ graphic a truncus using transformation and key features

Tonton & Download Video Musik Gratis

⬇ DOWNLOAD NOW
Kalau muncul iklan pop-up, tutup lalu klik tombol kembali

Download lagu The truncus - Hyperbola and the truncus/ graphic a truncus using transformation and key features secara gratis hanya untuk keperluan promosi. Dukung artis favorit kamu dengan membeli musik original di iTunes atau platform resmi lainnya.