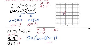
Algebra 2 Chapter 4.5 (Part 1) VideoNotes

Tonton & Download Video Musik Gratis

⬇ DOWNLOAD NOW
Kalau muncul iklan pop-up, tutup lalu klik tombol kembali

Download lagu Algebra 2 Chapter 4.5 (Part 1) VideoNotes secara gratis hanya untuk keperluan promosi. Dukung artis favorit kamu dengan membeli musik original di iTunes atau platform resmi lainnya.