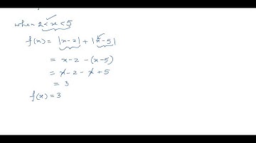
AIEEE 2012 Solutions Maths Problem based on functions Maxima and Minima

Tonton & Download Video Musik Gratis

⬇ DOWNLOAD NOW
Kalau muncul iklan pop-up, tutup lalu klik tombol kembali

Download lagu AIEEE 2012 Solutions Maths Problem based on functions Maxima and Minima secara gratis hanya untuk keperluan promosi. Dukung artis favorit kamu dengan membeli musik original di iTunes atau platform resmi lainnya.