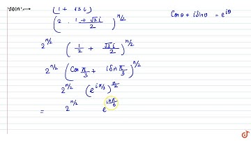
The smallest positive integral value of n for which ((1+i)/(1-i))^n=1, is

Tonton & Download Video Musik Gratis

⬇ DOWNLOAD NOW
Kalau muncul iklan pop-up, tutup lalu klik tombol kembali

Download lagu The smallest positive integral value of n for which ((1+i)/(1-i))^n=1, is secara gratis hanya untuk keperluan promosi. Dukung artis favorit kamu dengan membeli musik original di iTunes atau platform resmi lainnya.