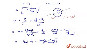
13) A ring of mass m and radius R is released on a horizontal rough surface. Such that the centre

Tonton & Download Video Musik Gratis

⬇ DOWNLOAD NOW
Kalau muncul iklan pop-up, tutup lalu klik tombol kembali

Download lagu 13) A ring of mass m and radius R is released on a horizontal rough surface. Such that the centre secara gratis hanya untuk keperluan promosi. Dukung artis favorit kamu dengan membeli musik original di iTunes atau platform resmi lainnya.