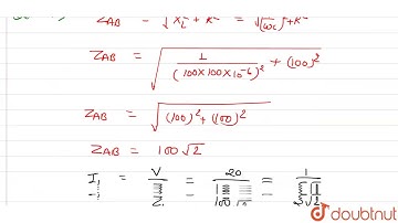
In the given circuit, the AC source has ω=100rad/s. Considering the inductor and capacitor to be

Tonton & Download Video Musik Gratis

⬇ DOWNLOAD NOW
Kalau muncul iklan pop-up, tutup lalu klik tombol kembali

Download lagu In the given circuit, the AC source has ω=100rad/s. Considering the inductor and capacitor to be secara gratis hanya untuk keperluan promosi. Dukung artis favorit kamu dengan membeli musik original di iTunes atau platform resmi lainnya.