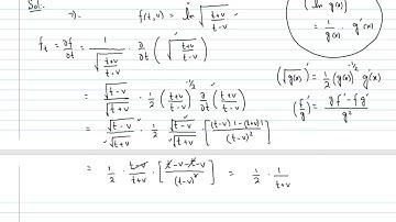
Calculus by Swokowski Exercise 12.3 Q 11 to 16 partial differentiation for BSc, BS Math.

Tonton & Download Video Musik Gratis

⬇ DOWNLOAD NOW
Kalau muncul iklan pop-up, tutup lalu klik tombol kembali

Download lagu Calculus by Swokowski Exercise 12.3 Q 11 to 16 partial differentiation for BSc, BS Math. secara gratis hanya untuk keperluan promosi. Dukung artis favorit kamu dengan membeli musik original di iTunes atau platform resmi lainnya.