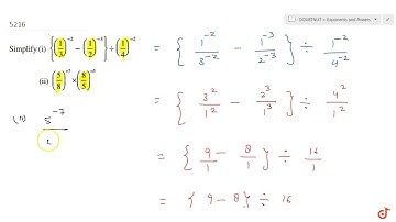
Class 8 Maths Chapter 12 | NCERT Example 7 - Exponents and Powers 2022-23

Tonton & Download Video Musik Gratis

⬇ DOWNLOAD NOW
Kalau muncul iklan pop-up, tutup lalu klik tombol kembali

Download lagu Class 8 Maths Chapter 12 | NCERT Example 7 - Exponents and Powers 2022-23 secara gratis hanya untuk keperluan promosi. Dukung artis favorit kamu dengan membeli musik original di iTunes atau platform resmi lainnya.