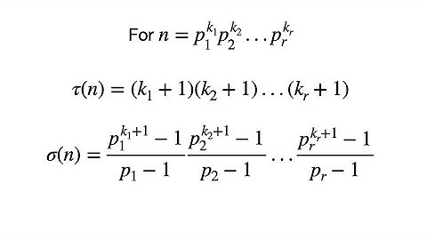
If n=(p_1^k_1)...p_^(p_r) then the positive divisors of n are of the form d=(p_1^a_1)...p_r^(a_r) _

Tonton & Download Video Musik Gratis

⬇ DOWNLOAD NOW
Kalau muncul iklan pop-up, tutup lalu klik tombol kembali

Download lagu If n=(p_1^k_1)...p_^(p_r) then the positive divisors of n are of the form d=(p_1^a_1)...p_r^(a_r) _ secara gratis hanya untuk keperluan promosi. Dukung artis favorit kamu dengan membeli musik original di iTunes atau platform resmi lainnya.