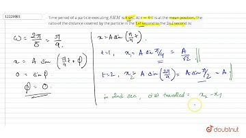
Time period of a particle executing SHM is 8 second. At t = 0 it is at the mean position...QN 20

Tonton & Download Video Musik Gratis

⬇ DOWNLOAD NOW
Kalau muncul iklan pop-up, tutup lalu klik tombol kembali

Download lagu Time period of a particle executing SHM is 8 second. At t = 0 it is at the mean position...QN 20 secara gratis hanya untuk keperluan promosi. Dukung artis favorit kamu dengan membeli musik original di iTunes atau platform resmi lainnya.