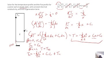
Problem 2 heat flow in infinite slab with internal heat generation at different surface temperature

Tonton & Download Video Musik Gratis

⬇ DOWNLOAD NOW
Kalau muncul iklan pop-up, tutup lalu klik tombol kembali

Download lagu Problem 2 heat flow in infinite slab with internal heat generation at different surface temperature secara gratis hanya untuk keperluan promosi. Dukung artis favorit kamu dengan membeli musik original di iTunes atau platform resmi lainnya.