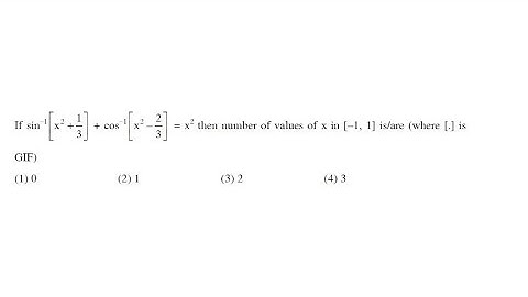
Find the range of the Function f(x)=sin^-1[x^2+1/2]+cos^-1[x^2-1/2], where [•] is a G.I.F.

Tonton & Download Video Musik Gratis

⬇ DOWNLOAD NOW
Kalau muncul iklan pop-up, tutup lalu klik tombol kembali

Download lagu Find the range of the Function f(x)=sin^-1[x^2+1/2]+cos^-1[x^2-1/2], where [•] is a G.I.F. secara gratis hanya untuk keperluan promosi. Dukung artis favorit kamu dengan membeli musik original di iTunes atau platform resmi lainnya.