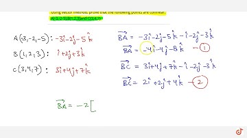
Using vector method, prove that the following points are collinear: lt br gt A(1,2,7) B(2,6,3) C...

Tonton & Download Video Musik Gratis

⬇ DOWNLOAD NOW
Kalau muncul iklan pop-up, tutup lalu klik tombol kembali

Download lagu Using vector method, prove that the following points are collinear: lt br gt A(1,2,7) B(2,6,3) C... secara gratis hanya untuk keperluan promosi. Dukung artis favorit kamu dengan membeli musik original di iTunes atau platform resmi lainnya.