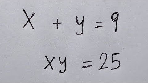
Math Olympiad | A very nice algebra problem. Can you solve ? #algebra

Tonton & Download Video Musik Gratis

⬇ DOWNLOAD NOW
Kalau muncul iklan pop-up, tutup lalu klik tombol kembali

Download lagu Math Olympiad | A very nice algebra problem. Can you solve ? #algebra secara gratis hanya untuk keperluan promosi. Dukung artis favorit kamu dengan membeli musik original di iTunes atau platform resmi lainnya.