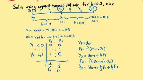
Solution of Numerical Analysis exercise 11.3 //Solution of RK-Method problems @mbmathematics

Tonton & Download Video Musik Gratis

⬇ DOWNLOAD NOW
Kalau muncul iklan pop-up, tutup lalu klik tombol kembali

Download lagu Solution of Numerical Analysis exercise 11.3 //Solution of RK-Method problems @mbmathematics secara gratis hanya untuk keperluan promosi. Dukung artis favorit kamu dengan membeli musik original di iTunes atau platform resmi lainnya.