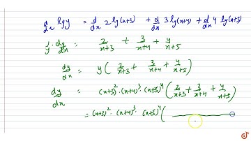
Differentiate the functions given w.r.t. x: `(x+3)^2dot(x+4)^3dot(x+5)^4`...

Tonton & Download Video Musik Gratis

⬇ DOWNLOAD NOW
Kalau muncul iklan pop-up, tutup lalu klik tombol kembali

Download lagu Differentiate the functions given w.r.t. x: `(x+3)^2dot(x+4)^3dot(x+5)^4`... secara gratis hanya untuk keperluan promosi. Dukung artis favorit kamu dengan membeli musik original di iTunes atau platform resmi lainnya.