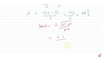
The value of lambda with |lambda| lt 16 such that 2x^(2) - 10xy +12y^(2) +5x +lambda y - 3 = 0 r...

Tonton & Download Video Musik Gratis

⬇ DOWNLOAD NOW
Kalau muncul iklan pop-up, tutup lalu klik tombol kembali

Download lagu The value of lambda with |lambda| lt 16 such that 2x^(2) - 10xy +12y^(2) +5x +lambda y - 3 = 0 r... secara gratis hanya untuk keperluan promosi. Dukung artis favorit kamu dengan membeli musik original di iTunes atau platform resmi lainnya.