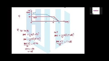
Edexcel, (6677/01), M1, GCE, June 2013, Q5, Constant Acceleration, Travel Graphs

Tonton & Download Video Musik Gratis

⬇ DOWNLOAD NOW
Kalau muncul iklan pop-up, tutup lalu klik tombol kembali

Download lagu Edexcel, (6677/01), M1, GCE, June 2013, Q5, Constant Acceleration, Travel Graphs secara gratis hanya untuk keperluan promosi. Dukung artis favorit kamu dengan membeli musik original di iTunes atau platform resmi lainnya.