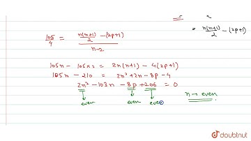
Two consecutive numbers from n natural numbers 1,2,3, ……, n are removed. Arithmetic mean of the r...

Tonton & Download Video Musik Gratis

⬇ DOWNLOAD NOW
Kalau muncul iklan pop-up, tutup lalu klik tombol kembali

Download lagu Two consecutive numbers from n natural numbers 1,2,3, ……, n are removed. Arithmetic mean of the r... secara gratis hanya untuk keperluan promosi. Dukung artis favorit kamu dengan membeli musik original di iTunes atau platform resmi lainnya.