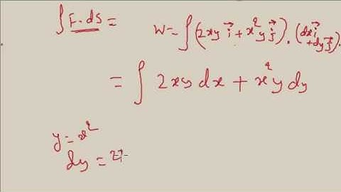
PART : 13| LINE INTEGRAL OF VECTOR CALCULUS | ENGINEERING MATHS | BY ALTAMASH SIR

Tonton & Download Video Musik Gratis

⬇ DOWNLOAD NOW
Kalau muncul iklan pop-up, tutup lalu klik tombol kembali

Download lagu PART : 13| LINE INTEGRAL OF VECTOR CALCULUS | ENGINEERING MATHS | BY ALTAMASH SIR secara gratis hanya untuk keperluan promosi. Dukung artis favorit kamu dengan membeli musik original di iTunes atau platform resmi lainnya.