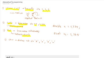
เฉลยข้อสอบ กว : วิชา Programming แนวชนิดของข้อมูล

Tonton & Download Video Musik Gratis

⬇ DOWNLOAD NOW
Kalau muncul iklan pop-up, tutup lalu klik tombol kembali

Download lagu เฉลยข้อสอบ กว : วิชา Programming แนวชนิดของข้อมูล secara gratis hanya untuk keperluan promosi. Dukung artis favorit kamu dengan membeli musik original di iTunes atau platform resmi lainnya.