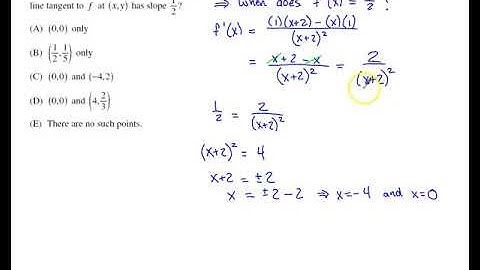
2012 AP Calculus AB Multiple Choice [Part A]- (Problem 19)

Tonton & Download Video Musik Gratis

⬇ DOWNLOAD NOW
Kalau muncul iklan pop-up, tutup lalu klik tombol kembali

Download lagu 2012 AP Calculus AB Multiple Choice [Part A]- (Problem 19) secara gratis hanya untuk keperluan promosi. Dukung artis favorit kamu dengan membeli musik original di iTunes atau platform resmi lainnya.