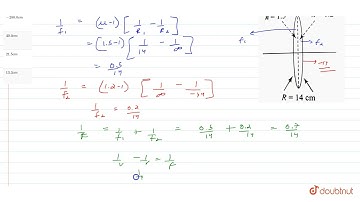
A bi-convex lens is formed with two thin plano-convex lenses as shown in the figure. Refractive ...

Tonton & Download Video Musik Gratis

⬇ DOWNLOAD NOW
Kalau muncul iklan pop-up, tutup lalu klik tombol kembali

Download lagu A bi-convex lens is formed with two thin plano-convex lenses as shown in the figure. Refractive ... secara gratis hanya untuk keperluan promosi. Dukung artis favorit kamu dengan membeli musik original di iTunes atau platform resmi lainnya.