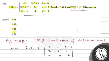
If \(f(x)=\left|\begin{array}{ccc}x-3 & 2 x^2-18 & 3 x^3-81 \\ x-5 & 2 x^2-50 & 4...

Tonton & Download Video Musik Gratis

⬇ DOWNLOAD NOW
Kalau muncul iklan pop-up, tutup lalu klik tombol kembali

Download lagu If \(f(x)=\left|\begin{array}{ccc}x-3 & 2 x^2-18 & 3 x^3-81 \\ x-5 & 2 x^2-50 & 4... secara gratis hanya untuk keperluan promosi. Dukung artis favorit kamu dengan membeli musik original di iTunes atau platform resmi lainnya.