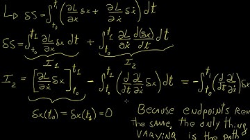
Classical Mechanics - Calculus of Variations / Jacoby form / Principle of Least Action- 3

Tonton & Download Video Musik Gratis

⬇ DOWNLOAD NOW
Kalau muncul iklan pop-up, tutup lalu klik tombol kembali

Download lagu Classical Mechanics - Calculus of Variations / Jacoby form / Principle of Least Action- 3 secara gratis hanya untuk keperluan promosi. Dukung artis favorit kamu dengan membeli musik original di iTunes atau platform resmi lainnya.