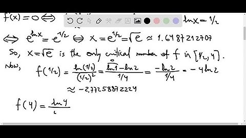
Find the absolute maximum and absolute minimum values of f on the given interval. f(x) = ln(x^2 +…

Tonton & Download Video Musik Gratis

⬇ DOWNLOAD NOW
Kalau muncul iklan pop-up, tutup lalu klik tombol kembali

Download lagu Find the absolute maximum and absolute minimum values of f on the given interval. f(x) = ln(x^2 +… secara gratis hanya untuk keperluan promosi. Dukung artis favorit kamu dengan membeli musik original di iTunes atau platform resmi lainnya.