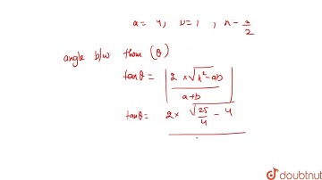
The angles between the lines represented by the equation 4x^(2)-24xy+11y^(2)=0 are | 12 | PAIR ...

Tonton & Download Video Musik Gratis

⬇ DOWNLOAD NOW
Kalau muncul iklan pop-up, tutup lalu klik tombol kembali

Download lagu The angles between the lines represented by the equation 4x^(2)-24xy+11y^(2)=0 are | 12 | PAIR ... secara gratis hanya untuk keperluan promosi. Dukung artis favorit kamu dengan membeli musik original di iTunes atau platform resmi lainnya.