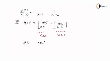
Conversion of TF to State Space Mode in Cascade Form - Control Systems State Space Analysis

Tonton & Download Video Musik Gratis

⬇ DOWNLOAD NOW
Kalau muncul iklan pop-up, tutup lalu klik tombol kembali

Download lagu Conversion of TF to State Space Mode in Cascade Form - Control Systems State Space Analysis secara gratis hanya untuk keperluan promosi. Dukung artis favorit kamu dengan membeli musik original di iTunes atau platform resmi lainnya.