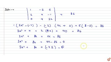
If there are two values of a which makes determinant, `Delta=|(1,-2,5),(2,a,-1),(0,4,2a)|=86` then

Tonton & Download Video Musik Gratis

⬇ DOWNLOAD NOW
Kalau muncul iklan pop-up, tutup lalu klik tombol kembali

Download lagu If there are two values of a which makes determinant, `Delta=|(1,-2,5),(2,a,-1),(0,4,2a)|=86` then secara gratis hanya untuk keperluan promosi. Dukung artis favorit kamu dengan membeli musik original di iTunes atau platform resmi lainnya.