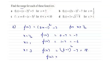
Cambridge AS and A level - Chapter 2 - Functions - Exercise 2A(8) - Express each function in the for

Tonton & Download Video Musik Gratis

⬇ DOWNLOAD NOW
Kalau muncul iklan pop-up, tutup lalu klik tombol kembali

Download lagu Cambridge AS and A level - Chapter 2 - Functions - Exercise 2A(8) - Express each function in the for secara gratis hanya untuk keperluan promosi. Dukung artis favorit kamu dengan membeli musik original di iTunes atau platform resmi lainnya.