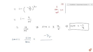
If cos x = –3/5, x lies in the third quadrant, find the values of other five trigonometric functions

Tonton & Download Video Musik Gratis

⬇ DOWNLOAD NOW
Kalau muncul iklan pop-up, tutup lalu klik tombol kembali

Download lagu If cos x = –3/5, x lies in the third quadrant, find the values of other five trigonometric functions secara gratis hanya untuk keperluan promosi. Dukung artis favorit kamu dengan membeli musik original di iTunes atau platform resmi lainnya.