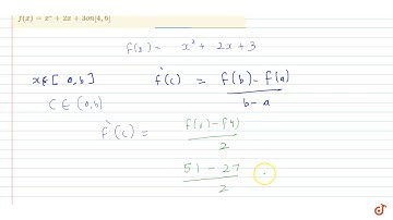
Verify Lagrange's mean-value theorem for each of the following functions: f(x)=2 x^2-3 x+1 ...

Tonton & Download Video Musik Gratis

⬇ DOWNLOAD NOW
Kalau muncul iklan pop-up, tutup lalu klik tombol kembali

Download lagu Verify Lagrange's mean-value theorem for each of the following functions: f(x)=2 x^2-3 x+1 ... secara gratis hanya untuk keperluan promosi. Dukung artis favorit kamu dengan membeli musik original di iTunes atau platform resmi lainnya.