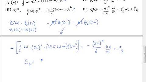
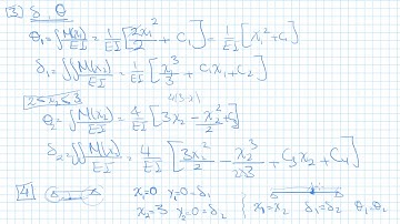
Solving for Deflection of a Beam Using the Method of Integration - Part 3/4

Tonton & Download Video Musik Gratis

⬇ DOWNLOAD NOW
Kalau muncul iklan pop-up, tutup lalu klik tombol kembali

Download lagu Solving for Deflection of a Beam Using the Method of Integration - Part 3/4 secara gratis hanya untuk keperluan promosi. Dukung artis favorit kamu dengan membeli musik original di iTunes atau platform resmi lainnya.