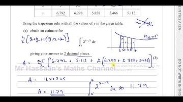
IAL Edexcel Jan 2022 P2 Q1, Integration, Trapezium Rule, Pure, Nick Peters

Tonton & Download Video Musik Gratis

⬇ DOWNLOAD NOW
Kalau muncul iklan pop-up, tutup lalu klik tombol kembali

Download lagu IAL Edexcel Jan 2022 P2 Q1, Integration, Trapezium Rule, Pure, Nick Peters secara gratis hanya untuk keperluan promosi. Dukung artis favorit kamu dengan membeli musik original di iTunes atau platform resmi lainnya.