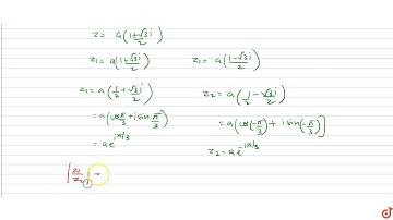
If `z_1 and z_2` are the roots of the equation `az^2 + bz+c = 0, a, b, c in` complex number

Tonton & Download Video Musik Gratis

⬇ DOWNLOAD NOW
Kalau muncul iklan pop-up, tutup lalu klik tombol kembali

Download lagu If `z_1 and z_2` are the roots of the equation `az^2 + bz+c = 0, a, b, c in` complex number secara gratis hanya untuk keperluan promosi. Dukung artis favorit kamu dengan membeli musik original di iTunes atau platform resmi lainnya.